The television slowly taught us that nothing was worth our time unless it was entertaining. -Marshall Segal-
Monthly Archives: February 2026
Fun with AI: What AI is good at
Question:
Consider the situation in which an individual seeks to maintain physical health by swimming every day. The pool is 50 ft x 25 ft, and the individual swims 30 lengths of this pool, thus totaling 500 yards. The pool does not have lane markings, but on the narrow end there are symbols in the middle and one quarter from each side. By unspoken social contract all of the morning lap swimmers use these markers to remain clear of each other. Up to three swimmers can comfortably enjoy use of this pool at the same time. The preferred position is next to the wall remote from the steps in one corner entering the pool, because this position is least bothered by other swimmers. The position next to the wall along which the steps is complicated by their existence. The steps form a 45-45-90 triangle projecting outward from the corner, with the lowest step reaching to the first mark, that is, one quarter of the width of the narrow side. There are only one set of steps, at the shallow end — none at the deep end of the pool.
Suppose an individual intending to use these marks while swimming laps often arrives at one end or the other up to one foot off to the side of the mark, in either diretion. Clearly, the person swimming along the side where the stairs are cannot swim the full 50 ft length of the pool if they are off the mark toward the steps, as they are in the way. Such a swimmer must, upon arriving at the shallow end and find he is facing the steps angle over to reach the mark exactly. This adds distance to the total swim.
If this swimmer arrives at the end of the pool within 1 foot of the mark in a uniform distribution of error calculate the total distance traversed, that is to say, the excess beyond the intended 500 yards. Keep in mind there are no steps at deep end of the pool, and on arriving at the shallow end if the swimmer is off the mark away from the steps, no extra distance is traveled. More over at each end the swimmer corrects and leaves exactly from the mark, intending to swim directly to the other mark, 50 feet away.
Repeat the calculation assuming instead the swimmer arrives at each end of the pool within 1 foot of the mark using a normal distribution of error.
ChatGPT said:
Alright, let’s carefully go step by step. We are trying to quantify the excess distance traveled due to lateral deviations from the marks at the shallow end where the steps interfere. I’ll assume we’re focusing on the wall with steps; the deep end has no obstacles, so deviations there don’t add extra distance.
We are given:
- Pool: 50 ft×25 ft
- Laps: 30 lengths → total intended distance: 500 yards = 1500 ft
- Steps occupy the first quarter of the narrow side: 25/4=6.25 ft from the corner
- Swimmer’s lateral position at each end:
- Uniform: ±1 ft from the mark
- Normal: mean 0, SD = ? (assume ±1 ft captures 68%? We’ll define later)
- Only when the swimmer is toward the steps do they travel extra distance.
We want:
distance per shallow-end turn from steps to mark along hypotenuse pool width (0)Extra distance per shallow-end turn=distance from steps to mark along hypotenuse−original pool width (0)
Step 1: Geometry of correction
The shallow-end steps form a 45-45-90 triangle. The swimmer is off the mark laterally by x feet toward the steps. Then, the swimmer must swim diagonally to the mark at the end of the pool.
- The legs of the triangle: x lateral deviation, 50 ft pool length.
- Extra distance:

Check:
- If x=0,
= 0 ✔ - If x=1 ft,
=
So even a 1 ft deviation yields very little extra distance, as expected.
Step 2: Uniform distribution of error
- Lateral deviation toward the steps: uniform distribution [−1,1] ft
- Only negative deviations (toward steps) matter: x∈[0,1] ft, probability = 0.5
- Average extra distance: =

We can approximate using Taylor expansion since x≪50: 
So 
- Uniform average:
0.0033 ft per shallow end turn - Probability factor: Only 50% of the time the swimmer is toward steps → multiply by 0.5:
ft≈0.00167ft - Number of corrections per 30 lengths: 30 times, but only half are at shallow end? Let’s check:
-
- 1 length = 1 trip from shallow → deep → shallow = 2 ends?
-
- Only shallow-end deviations matter. Each length ends at shallow end once, so 30 ends? Yes.
-
Total extra distance ≈ 30×0.00167 ≈ 0.05 ft ≈ 0.6 inches
✅ Essentially negligible.
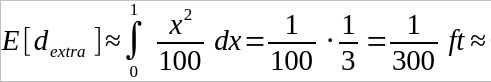
Step 3: Normal distribution of error
- Lateral deviation,
, assume ±1 ft = ~68% → 
- Only deviations toward steps (x < 0) matter. Symmetry: P(x<0) = 0.5
- Expected extra distance (approx. same Taylor expansion
) 
- Known fact: for half-normal distribution:
???
Check carefully:
- If
, then ∣X∣ is half-normal: E [ X2 | X < 0 ] = σ² - ✅ Yes, variance = σ², mean squared deviation along negative side = σ²
= 0.01 ft per shallow-end turn - Total for 30 lengths: 30 x 0.01 = 0.3 ft
3.6 inches
✅ Step 4: Summary
| Distribution | Extra distance (total for 30 lengths) |
|---|---|
| Uniform ±1 ft | ~0.05 ft (~0.6 inches) |
| Normal σ = 1 ft | ~0.3 ft (~3.6 inches) |
Observation:
- Even with lateral deviations, the extra distance is minuscule compared to 1500 ft (500 yards) total swim.
- Uniform deviations cause the least, normal deviations slightly more, due to occasional larger negative excursions.
If you want, I can also calculate an exact integral for uniform and normal distributions without approximation, just for precision.
random quip
Early to bed, early to rise, fish all day and make up lies.
random quip
The traditional mathematics professor of popular legend is absentminded…. After all, you can learn something from the traditional mathematics professor. Let us hope that the mathematics teacher from whom you cannot learn anything will not become traditional. -George Polya-
random quip
The sum of the cubes of the first n numbers equals the sum of the first n numbers, squared.
random quip
I am an Ageless Hippie with a rock’n’roll heart and a never-ending hope for Peace. -Hippie Peace Freaks-
random quip
Indeed, the testament of science is so continually in a flux that the heresy of yesterday is the gospel of today and the fundamentalism of tomorrow. -Edward Kasner and James R. Newman-
random quip
You can prove almost anything if you get to pick and choose your facts, especially if you’re willing to overlook evidence to the contrary. -Cutlass 43k-
random quip
Love is not affectionate feeling, but a steady wish for the loved person’s ultimate good as far as it can be obtained. -C.S. Lewis-
random quip
Simplicity is the final achievement. After one has played a vast quantity of notes and more notes, it is simplicity that emerges as the crowning reward of art. -Frederic Chopin-